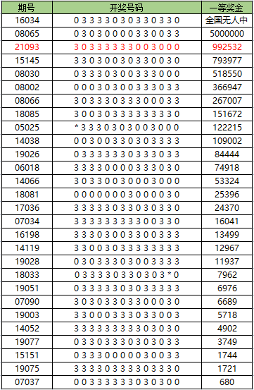
网络配图北京时间8月19日,胜负彩第21093期开奖结果揭晓。本期一等奖开出9注,单注奖金99.2万余元。老彩民们恐怕已经发现,本期足彩的一大特点就是14场比赛竟然没有一场平局赛果打出,这在足彩玩法里是比较罕见的。

据统计,足彩玩法自2005年开售至今已经走过17个年头,而在这17年的赛果开奖中,仅有28次是14场比赛无一场平局的情况,平均每年出现不到两次。
不过有意思的是,这种14场无平局的现象大多会扎堆出现,比如09年到13年期间,5年没有出现过一次无平局现象,但在08年出现过4次、14年出现过4次、19年更是出现过6次的巅峰。
在本期开奖的足彩之前,最近的一次14场无平局出现在2019年6月13日开奖的19077期,距今相隔已经798天。
而在足彩开奖中,大多数的高额奖金都诞生于多个冷门赛果的产生,这其中平局的作用无可厚非。在14场比赛全无平局的这28期开奖中,仅有一次全国无人中出和一次500万的封顶头奖,剩余期次大多是不到10万的小奖,其中最低的是07037期开出的一期足彩,当时单注头奖仅有680元,而本期足彩开出的99万单注奖金在这28次足彩开奖中排在第二高(不包括无人中出)。













琼公网安备 46010702000077号


