这一天,爱因斯坦出生,霍金离开世界。伟大的灵魂将不再受躯体的折磨。

作为人类20世纪最伟大的物理学家之一,煌煌巨作《时间简史》的作者,用三根手指改变了世界的科学巨匠,愿您一路走好,来生我们有幸还能得到您的教诲。
老爷子一生研究广泛,就连小小的彩票他都研究过。
2014年随着世界杯临近,老爷子竟然非常有精神的研究了1966年以来英格兰队所有的比赛。
分析的结果表明,只要英国队采用4-3-3队形就能比4-4-2队形,胜率高出10%;球员们穿红色的球衣就要比穿白色球衣胜率上升20%。不仅如此,老爷子声称只要欧洲本土的裁判审判,胜率比非欧洲裁判要高25%。
不要以为老爷子这些没有依据,霍金称:“这些都是参考这些环境学、物理学、心理学、政治学、以及战术学角度得出的数据。”
当然,如果你觉得老爷子只会这一点,那只能说你太“天真”了。
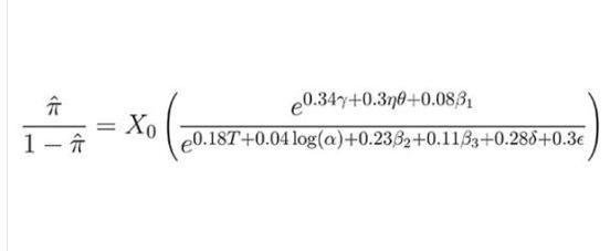
老爷子在世界杯开赛之前,还研究出了一套世界杯公式。但是这种高深的公式,又能有几个人看懂呢?也许,你要是真能看懂的话,今年的世界杯100%中奖也说不准。

霍金的世界杯夺冠公式霍金传真截屏
老爷子爱玩,打小就开始。
小时候,霍金就喜欢和小伙伴们打赌,赌他们身上有没有糖。成名后,他和当时著名物理学家的恩格勒和希格斯打赌,结果恩格勒和希格斯赢了他100美元。乐在其中的霍金却说:“他的整个人生都逃避不了打赌的嗜好。”
当一本杂志向霍金要“时间旅行”的公式,霍金这样回答到:“感谢来信。我尚未获得时间旅行的方程式。如果我有,那我就可以期期中彩票了!”。在一本著作里面他还把量子比作彩票。

霍金传真截屏
“如果生活没有了乐趣,那将是一场悲剧。”
愿老顽童霍金一路走好,愿您在天堂不要有这么多磨难,愿您来生还能让我们有幸成为您的信徒。斯人已逝,缅怀霍金。













琼公网安备 46010702000077号


